examples:precipitation:p2:p2_2-coolingratefinal.png

p2_2-coolingratefinal.png

p2_2-coolingratefinal.png

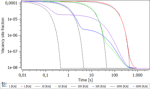
Example P2: Precipitation sequence in Al-Cu, Part 2: Evolution of excess vacancies

Date::
2012/11/20 14:06
Filename::
p2_2-coolingratefinal.png
Format::
PNG
Size::
17KB
Width::
611
Height::
364