examples:equilib:e20:img:plot_scheil_2_no_bd_st.png

plot_scheil_2_no_bd_st.png

plot_scheil_2_no_bd_st.png

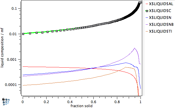
Example E20: Continuous casting of micro-alloyed Fe-Al-C-N-Nb-Ti steel, part 2: Scheil-Gulliver analysis of primary precipitation

Date::
2012/11/20 14:06
Filename::
plot_scheil_2_no_bd_st.png
Format::
PNG
Size::
36KB
Width::
609
Height::
377