examples:diffusion:d30:d30_al-in-iron.png

d30_al-in-iron.png

d30_al-in-iron.png

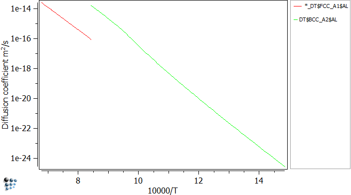
Example D30: Diffusion of aluminium in ferrite and austenite

Date::
2012/11/20 14:06
Filename::
d30_al-in-iron.png
Format::
PNG
Size::
11KB
Width::
704
Height::
391